

语文

样卷题型与2024年语文中考试题相比,语言文字运用字义推断考点新增思维导图形式(2023、2019年浙江杭州),非连续性文本阅读新增图文转述考点(2024年陕西、安徽),写作新增漫画作文(2024年山西)。
一、结构及内容具体分析:
1.2025年河北中考语文样卷总分值、考试时长均无变化,全卷总题量增加1道,题型上非选择题增加1道。
2.“第一部分 语言文字运用”与“第三部分 写作”在题量、分值上均无变化。“第二部分 阅读”在题型、分值、题量上均有明显变化,具体变化如下:
①“古诗文阅读”总题量增加1道,总分值增加1分,“(二)阅读”题型调整为“(二)古代诗歌阅读”和“(三)文言文阅读”,与 2023 年中考题型一致。
②“现代文阅读”总题量减少1道,总分值减少3分,其中“非连续性文本读”题量增加1道,分值增加1分;“文学作品阅读”题量减少2道,分值减少4分。
③“整本书阅读”题量增加1道,分值增加2分。

二、样卷试题分析
1.题源分析(均为原创题)
2.2025年样卷新考法试题总结:整卷无新增题型,相比2024年中考,语言文字运用中字义推断新增思维导图形式,非连续性文本阅读新增图文转述考点,写作新增漫画作文。
具体如下:
(1)2题考査字义推断(思维导图形式),为河北中考常考考点的新形式,但为全国前沿省市中考已考形式,如2023、2019年浙江杭州。

(2)13题考查图文转述,2024年河北中考首次考查非连续性文本阅读题型,此次样卷新增图文转述考点,为全国中考常考考点,如2024年陕西、安徽。

(3)21题考査漫画作文,河北历年中考未出现,为全国中考已考形式,如 2024 年山西。


数学

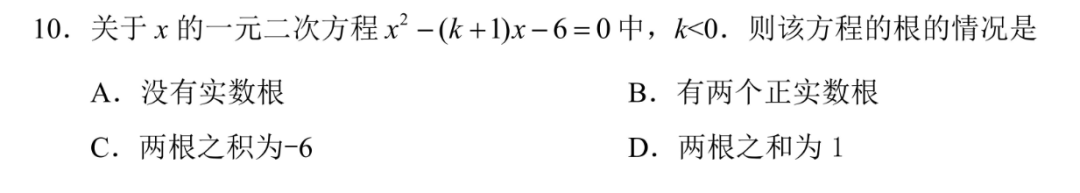
样卷与2024中考试卷相比总分值、考试时长均无变化,各题型的题量、分值上作出了调整;新增知识点包含一元二次方程根与系数的关系(2022年版课标调整内容)、平行四边形的折叠问题,新增考法包含分式化简和解分式方程体现过程性运算、三角形动线问题与尺规作图融合。
一、结构及内容具体分析:
①与 2023 年 11月份河北省教育考试院发布的《河北省初中学业水平考试试卷结构(2023 年发布)》中的总分值、时间一致;
②与 2024 年中考试卷相比,选择题减少4道,填空题增加1道,解答题增加1道,整卷题型题量结构为:12+4+8。

二、样卷试题分析
2025年河北省初中学业水平考试样卷中有原创题18道,其余6道试题来源于山东、山西、河南、河北地市模拟题改编,试题的考查知识点和考法借鉴了河北省往年中考试题,第10题新增考查一元二次方程根与系数的关系(2022 年版课标调整为考查内容)。
具体分析如下:

2.新增知识点
(1)第10题新增考查一元二次方程根与系数关系(2022年版课标调整为考查内容);

(2)第12题新增考查平行四边形的折叠问题。

3.新增考法
(1)第18题考查分式化简和解分式方程体现过程性运算:

(2)第24题考查三角形的动线问题,融合尺规作图。


英语

样卷题型与2024年河北英语中考试题相比,总分值120分,不变;总题量由86道调整为81道,各板块划分、题量、题型、分值均有差异,具体变化如下:
一、结构及内容具体分析:



二、样卷试题分析
(一) 第一部分 听力
1. 删除“听句子,选出句子中所包含的信息”题型。
2.“第一节 听句子,选择最佳答语”新增考法:询问年龄How old is your little brother?
3.“第二节 听对话和问题,选择正确答案”新增2组对话,5道试题。

(二)第二部分 语言运用
1.删除“单项选择”题型。
2.“完形填空”无变化。
3.短文填空:
(1)题位调整:“词语运用”由X题调整至语言运用“第二节 短文填空”。
(2)题量调整:由10空变为15空,由“8个适当形式填空+2个盲填”变为“11个适当形式填空+4个盲填”。
(3)新增考点:①动词:填不定式、现在进行时、一般将来时、名词、一般现在时的被动语态;②介词由1道变为2道。

(三)第三部分 阅读
第一节 阅读理解
1.题型、题量无变化。
2.新增考法:58题考查跨学科(地理)、61题考查单词还原。


第二节 阅读表达
1.5道题均变为回答问题,74、75 题题干后给出作答条件。
2.最后一题由一问变为两问,第一问考查迁移运用,第二问为开放性试题。

(四)第四部分 情景交际

(五)第五部分 写作
1.删除“ 基础写作 A) 连词成句”题型。
2.“基础写作 B) 书面表达”题型无变化。


物理

样卷与2024理科综合中物理中考试卷相比,试卷结构、题型、题量、分值均有所调整,试题的考法更加灵活,体现了“稳中求变”的中考特点,涉及的新考法包含:数理结合、实际应用类——敏感电路动态电路分析、组合实验形式——2个小实验组合等。
一、结构及内容具体分析:
总结:①与 2023 年 11月份河北省教育考试院发布的《河北省初中学业水平考试试卷结构(2023 年发布)》中的总分值、时间、总题量一致;
②与 2024 年中考试卷相比,选择题题量变化,单项选择题由5道变为10道,删除3道多选题,总分值增加1分;非选择题各题型题量不变,总分减少4分,其中:填空题少4分,实验题多1分,计算题少1分。具体分析如下:

二、样卷试题分析
(1)知识点与题源分析
2025年河北省初中学业水平考试物理学科样卷中的试题为原创题、河北、江苏、广东、北京等地的模拟题,试题的考查知识点依据新课标,与往年基本一致,具体分析如下:

(2)新考法试题
试题考查灵活,出现的新考法试题符合全国考查趋势贴合2022年版新课标理念,涉及的新考法包含:数理结合、实际应用类--敏感电路动态电路分析、组合实验形式--2个小实验组合:教材中的2个小实验组合等。具体分析如下:


化学

样卷与2024河北中考理科综合试卷中化学试题相比,试卷结构、题型、题量、分值均有所调整,试题的考法更加灵活,体现了“稳中求变”的中考特点,涉及的新考法包含:新增流程图题、计算题设问角度新颖——考查反应后溶质成分分析、溶解度曲线和微观反应示意图首次在非选择题中考查。
一、结构及内容具体分析:
①与 2023 年 11月份河北省教育考试院发布的《河北省初中学业水平考试试卷结构(2023 年发布)》中的总分值、时间、总题量一致;
②与 2024 年中考试卷相比,总题量减少3道,其中选择题减少4道,分值减少8分;非选择题增加1道,分值增加 8分。
二、样卷试题分析
1.知识点及题源分析
2025年河北省初中学业水平考试化学学科样卷中的试题为原创题、教材素材改编题、全国真题及模拟题改编题,试题考查的知识点依据新课标,与往年基本一致,具体分析如下:

2.新考法试题分析
试题考查灵活,出现的新考法试题包含:新增流程图题题型、计算题设问角度新颖--考査反应后溶质成分分析、溶解度曲线和微观反应示意图首次在非选择题中考查。
具体分析如下:


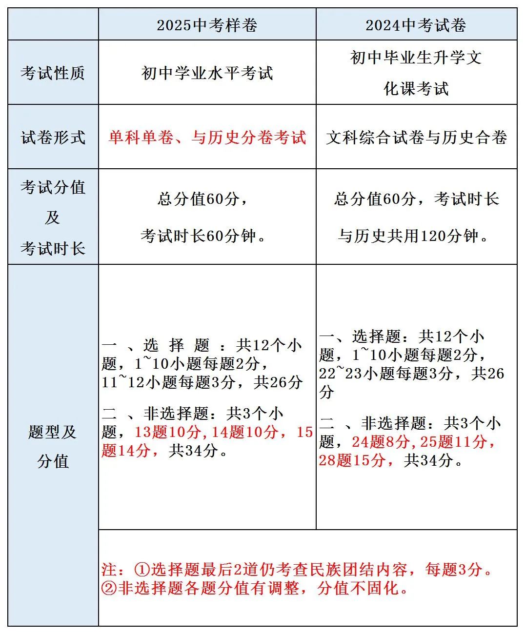
道德与法治

样卷与2024年道德与法治中考试题相比,非选择题分值不固化,呈现稳中求变、考法灵活的特点。
一、结构及内容具体分析:
1.试卷形式变化:单科单卷。
2.题型、题量、总分值、考试时长无变化。
3.非选择题各题分值有调整,分值不固化。

4.试题形式
选择题:
①以四选二为主。

②考查一组 1拖 2,为民族团结试题。
③选择题错误题肢侧重正确无关类。
11②为说法绝对类(我国各民族之间的差异已消失);
教材知识错误类(9A我国是国际政治的领导者、9B我国是全球规则的制定者)。
非选择题:
知识跨板块综合考查,具体题位考查知识板块如下:

5.国情、法律、心理道德各板块分值占比。

6.心理道德板块新增考查点:文明有礼、守护精神,均在非选择题考查。
二、样卷试题分析
1.题源分析:1、2、11 题分别改编自 2024、2022河北中考试题及 2024河北模拟题,其他试题均为原创题。
2.新考法试题
(1)选择题新增活动类试题(样卷第3题),要求学生选出研学地点与活动主题相对应的选项。

(2)非选择题设问思维含量高,涉及设问新词(风采),开放类设问增多(第 15 题最后2问均为开放类设问)。



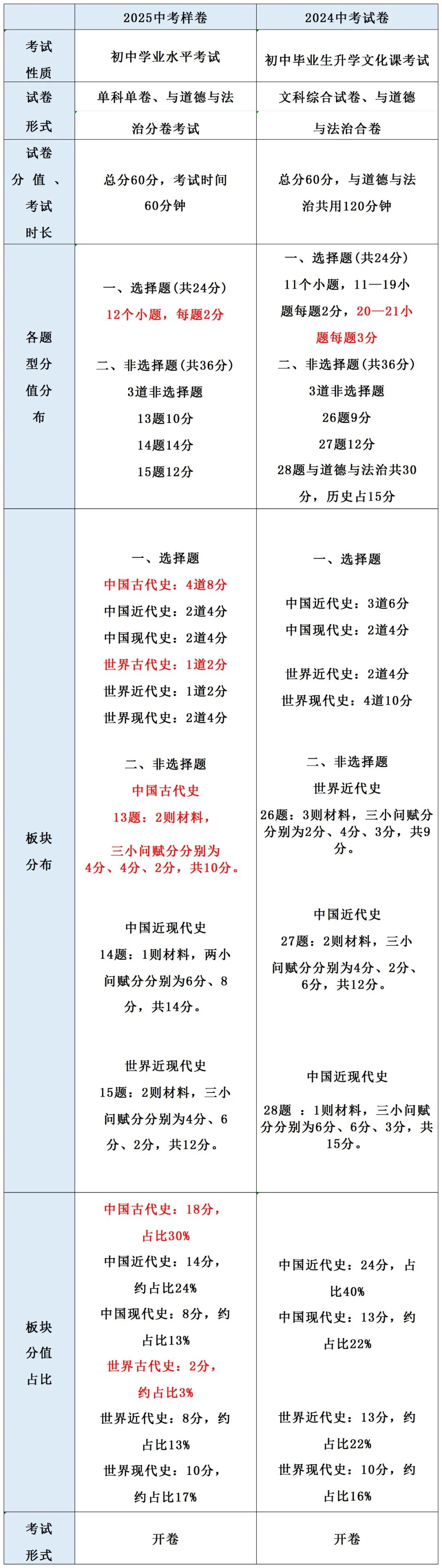
历史

样卷与2024年历史中考试题相比,试卷结构、考试范围等发生了较大变化。
一、结构及内容具体分析:
1.试卷形式变化:单科单卷。
2.题型、总分值、考试时长无变化。
3.试卷题量变化:选择题由11道增加为12道,非选择题题量不变。
4.分值变化:选择题取消3分题,均为每题2分;非选择题各题分值有调整,分值不固化。
5.板块分布与分值占比变化:新增考试范围中国古代史(4道选择题、1 道非选择题)、世界古代史(1道选择题),约占全卷总分值的33%。
具体对比分析如下:

二、考试范围
2025年河北省初中学业水平考试历史试卷(样卷)中新增中国古代史、世界古代史板块内容,共涉及5道选择题,1道非选择题,总分共计20分,约占全卷总分值的33%。具体如下

三、样卷试题分析
1.题源分析
样卷试题以原创题为主,并借鉴全国各省市真题、模拟题。试题源自北京、福建、广东、陕西、山东等地的模拟题和上海、广东的中考真题。具体如下。


2.新考法试题
第14(2)题,要求“从材料中任选商务印书馆的一个史事,结合所学简要说明这一史事是如何反映'巨变的”。试题体现出较强的开放性,更加注重对学生发散思维的考查。
长按识别下方二维码
鼎校的1万元加盟政策咨询入口
▼

鼎校智能英语加盟费咨询




小初高快速提分一对一辅导,欢迎留言,老师会进行解答!
最后预祝各位学生都能快提分,上好学,得偿所愿!
| 扫码进群 | ||
小学备考知识群 |
初中备考知识群 |
|